PeriComp: Perioperative Complication Detection LoRA Adaptors

πŸŽ‰ This work has been accepted by npj Digital Medicine

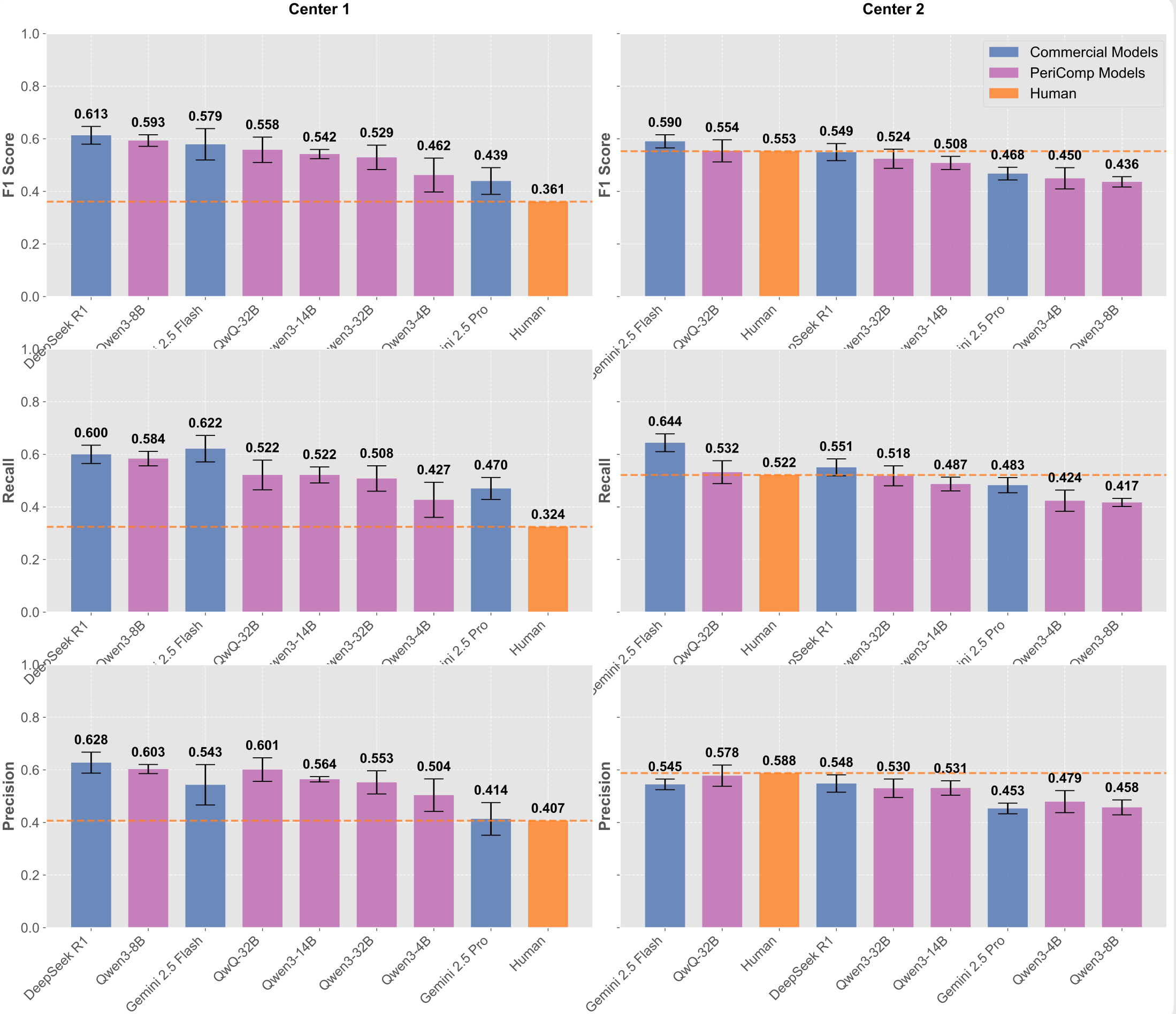
PeriComp Performance Figure: Performance comparison of fine-tuned models across different sizes

🩺 Model Overview

PeriComp is a collection of specialized LoRA (Low-Rank Adaptation) adaptors designed for perioperative complication detection from clinical narratives. These adaptors enhance smaller open-source language models to achieve expert-level performance in identifying and grading 22 distinct perioperative complications based on European Perioperative Clinical Outcome (EPCO) definitions.

🎯 Key Features

  • Expert-level Performance: Matches or exceeds human clinician accuracy
  • Multi-scale Detection: Simultaneous identification and severity grading (mild/moderate/severe)
  • Comprehensive Coverage: 22 distinct perioperative complications
  • Resource Efficient: Optimized for deployment on standard clinical infrastructure
  • Privacy Preserving: Fully deployable on-premises without data transmission

πŸ“Š Model Collection

This collection includes five optimized LoRA adaptors:

Model Base Model Parameters F1 Score Use Case
PeriComp-4B Qwen3-4B 4B 0.55 Resource-constrained environments
PeriComp-8B Qwen3-8B 8B 0.61 Balanced performance/efficiency
PeriComp-14B Qwen3-14B 14B 0.65 High-performance deployment
PeriComp-32B Qwen3-32B 32B 0.68 Maximum accuracy requirements
PeriComp-QwQ-32B QwQ-32B 32B 0.70 Reasoning-enhanced performance

πŸ”¬ Research Background

Perioperative complications affect millions of patients globally, with traditional manual detection suffering from:

  • 27% under-reporting rate in clinical registries
  • High variability in expert performance across institutions
  • Cognitive load limitations with complex documentation

Our research, published in npj Digital Medicine (DOI: 10.1038/s41746-025-02139-3), demonstrates that targeted task decomposition combined with LoRA fine-tuning enables smaller models to achieve expert-level diagnostic capabilities while maintaining practical deployability.

Strict Performance Evaluation Figure: Strict performance evaluation requiring exact complication type and severity matching

πŸš€ Quick Start

Installation

pip install transformers peft torch

Basic Usage

from transformers import AutoTokenizer, AutoModelForCausalLM
from peft import PeftModel

# Load base model and tokenizer
model_name = "Qwen/Qwen3-8B"
tokenizer = AutoTokenizer.from_pretrained(model_name)
base_model = AutoModelForCausalLM.from_pretrained(model_name)

# Load PeriComp adaptor
adaptor_name = "gscfwid/Qwen3-8B-PeriComp"
model = PeftModel.from_pretrained(base_model, adaptor_name)

# Prepare clinical input
clinical_text = """
# Objective
The objective is to identify postoperative complications from patient data in medical records, mimicking the diagnostic expertise of a senior surgeon.

# Diagnostic Criteria
The diagnostic criteria for the 22 postoperative complications are as follows:

{the diagnostic criteria for the 22 postoperative complications}

# Guidelines of Output structure

The output format is specified as:
{defined the output structure}

# Data of medical records

- {General Information (De-identified)}
- {Postoperative Medical Record}
- {Abnormal Test Results}
- {Examination Results}
"""

# Prompt preparation format details can be found in the example files:
# - comprehensive_prompts.json for QwQ 32B adapter
# - targeted_prompts.json for Qwen 3 adapters
# Note: Models are trained on Chinese clinical texts; performance on other languages is not validated

# Generate complication assessment
inputs = tokenizer(clinical_text, return_tensors="pt")
outputs = model.generate(**inputs, max_new_tokens=512)
result = tokenizer.decode(outputs[0], skip_special_tokens=True)

πŸ”§ Technical Details

Training Methodology

  • Base Architecture: Qwen3 series and QwQ-32B
  • Fine-tuning Method: LoRA (Low-Rank Adaptation)
  • Training Data: 146 complex surgical cases
  • Validation: Dual-center external validation (52 cases)
  • Task Strategy: Targeted decomposition approach

LoRA Configuration

lora_config = {
    "lora_rank": 16,
    "lora_alpha": 32,
    "learning_rate": 1e-4,
    "target_modules": ["q_proj", "k_proj", "v_proj", "o_proj"]
}

πŸ’» Code and Data Access

  • GitHub Repository: gscfwid/PeriComp
  • Complete Implementation: Training scripts, evaluation code, and data processing pipelines
  • Prompt Templates: Each model includes optimized prompt files:
    • comprehensive_prompts.json: For QwQ-32B adapter (comprehensive approach)
    • targeted_prompts.json: For Qwen3 adapters (targeted strategy)
  • Clinical Data: Available upon reasonable request through institutional collaboration with appropriate ethical approval

πŸ“‹ Supported Complications

The models detect and grade 22 perioperative complications based on European Perioperative Clinical Outcome (EPCO) definitionsΒΉ:

  1. Cardiovascular: Myocardial injury, cardiac arrhythmias
  2. Respiratory: Pneumonia, respiratory failure
  3. Renal: Acute kidney injury
  4. Gastrointestinal: Paralytic ileus, anastomotic leakage
  5. Infectious: Surgical site infections, sepsis
  6. Neurological: Delirium, stroke
  7. Hematological: Bleeding, thromboembolism
  8. And more...

Each complication is graded as:

  • Mild: Minor intervention required
  • Moderate: Significant medical management
  • Severe: Life-threatening, intensive intervention

ΒΉ Jammer, I. et al. Standards for definitions and use of outcome measures for clinical effectiveness research in perioperative medicine: European Perioperative Clinical Outcome (EPCO) definitions: a statement from the ESA-ESICM joint taskforce on perioperative outcome measures. Eur J Anaesthesiol 32, 88-105 (2015). DOI: 10.1097/EJA.0000000000000118

πŸ₯ Clinical Applications

Primary Use Cases

  • Automated Screening: Continuous 24/7 complication monitoring
  • Quality Assurance: Systematic complication registry validation
  • Clinical Decision Support: "Second opinion" for complex cases
  • Research: Standardized outcome assessment for clinical studies

Deployment Scenarios

  • Resource-limited Settings: Use PeriComp-4B/8B models
  • Standard Clinical Environment: PeriComp-14B recommended
  • High-accuracy Requirements: PeriComp-32B for maximum performance
  • Reasoning-enhanced Tasks: PeriComp-QwQ-32B for complex diagnostic reasoning

⚠️ Important Considerations

Clinical Validation Required

⚠️ These models are research tools and require clinical validation before use in patient care

Limitations

  • Training on Chinese medical records (generalizability considerations)
  • Performance depends on documentation quality and completeness
  • Not a replacement for clinical judgment

Best Practices

  • Use as screening tool with clinical oversight
  • Validate outputs against clinical judgment
  • Consider local adaptation for specific institutional practices

Data Access

⚠️ Clinical datasets are not publicly available due to patient privacy protection

Data Request Process:

  • Clinical datasets can be requested from corresponding authors for legitimate research purposes
  • Requests must include detailed research protocol and intended use
  • Institutional ethical approval is required before data sharing
  • Data sharing agreements must comply with local privacy regulations
  • Contact: [email protected] for data access inquiries

πŸ“š Citation

If you use PeriComp in your research, please cite:

@article{gao2025pericomp,
  title={Enhancing Privacy-Preserving Deployable Large Language Models for Perioperative Complication Detection: A Targeted Strategy with LoRA Fine-tuning},
  author={Gao, Shaowei and Zhao, Xu and Chen, Lihui and Yu, Junrong and Tian, Shuning and Zhou, Huaqiang and Chen, Jingru and Long, Sizhe and He, Qiulan and Feng, Xia},
  journal={npj Digital Medicine},
  
  year={2025},
  doi={10.1038/s41746-025-02139-3},
  url={https://doi.org/10.1038/s41746-025-02139-3},
  
}

Paper: Enhancing Privacy-Preserving Deployable Large Language Models for Perioperative Complication Detection: A Targeted Strategy with LoRA Fine-tuning

Code: GitHub Repository - gscfwid/PeriComp

πŸ“§ Contact & Support

For questions, issues, or collaboration opportunities:

  • Research Team: Department of Anesthesiology, First Affiliated Hospital of Sun Yat-sen University, Guangzhou, China
  • Technical Issues: [email protected]
  • Clinical Data Requests: [email protected] (requires ethical approval and institutional collaboration)
  • Clinical Applications: Perioperative Complications Detection
  • Code Repository: GitHub Issues for implementation questions

πŸ“„ License

This work is licensed under Apache License 2.0. See LICENSE for details.


PeriComp: Advancing perioperative patient safety through AI-powered complication detection

Downloads last month

-

Downloads are not tracked for this model. How to track
Inference Providers NEW
This model isn't deployed by any Inference Provider. πŸ™‹ Ask for provider support

Collection including gscfwid/Qwen3-4B-PeriComp